Официальное опубликование правовых актов
ОФИЦИАЛЬНОЕ ОПУБЛИКОВАНИЕ
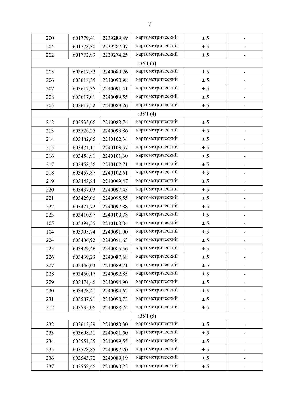
Приказ Главного управления лесами Челябинской области от 19.11.2025 № 1183
"Об установлении площадей и границ земель, на которых расположены леса, расположенные в лесопарковых зонах Миасского и Уфалейского лесничеств"
(Зарегистрирован 20.11.2025 № 319)
Номер опубликования: 7401202511200001
Дата опубликования: 20.11.2025
Страница №9 из 18:
Увеличить