Официальное опубликование правовых актов
ОФИЦИАЛЬНОЕ ОПУБЛИКОВАНИЕ
Постановление Правительства Санкт-Петербурга от 19.12.2024 № 1147
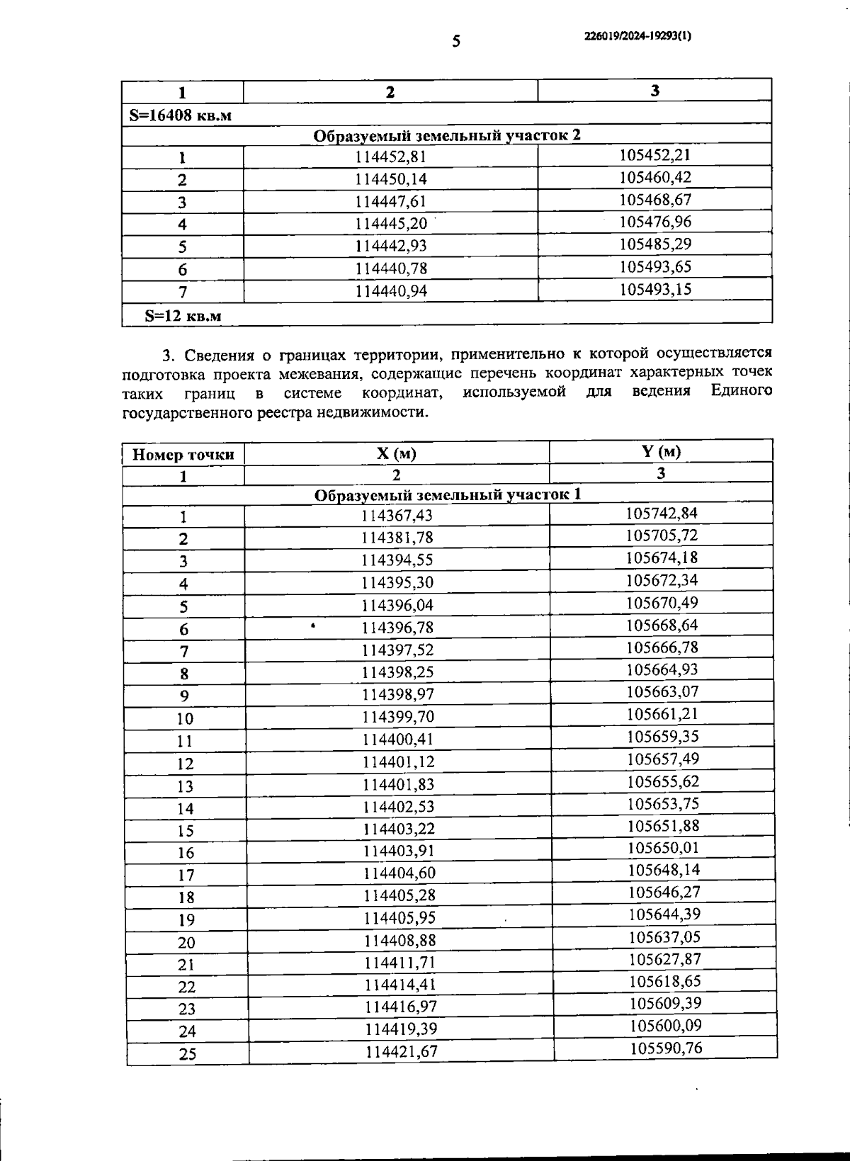
"Об утверждении проекта планировки с проектом межевания территории для размещения линейного объекта регионального значения "Центральная ул. от проектируемого Горского шоссе до проектируемой улицы (проезда) без названия № 2"
Номер опубликования: 7800202412260026
Дата опубликования: 26.12.2024
Страница №19 из 22:
Увеличить