Официальное опубликование правовых актов
ОФИЦИАЛЬНОЕ ОПУБЛИКОВАНИЕ
Постановление Правительства Санкт-Петербурга от 09.09.2025 № 639
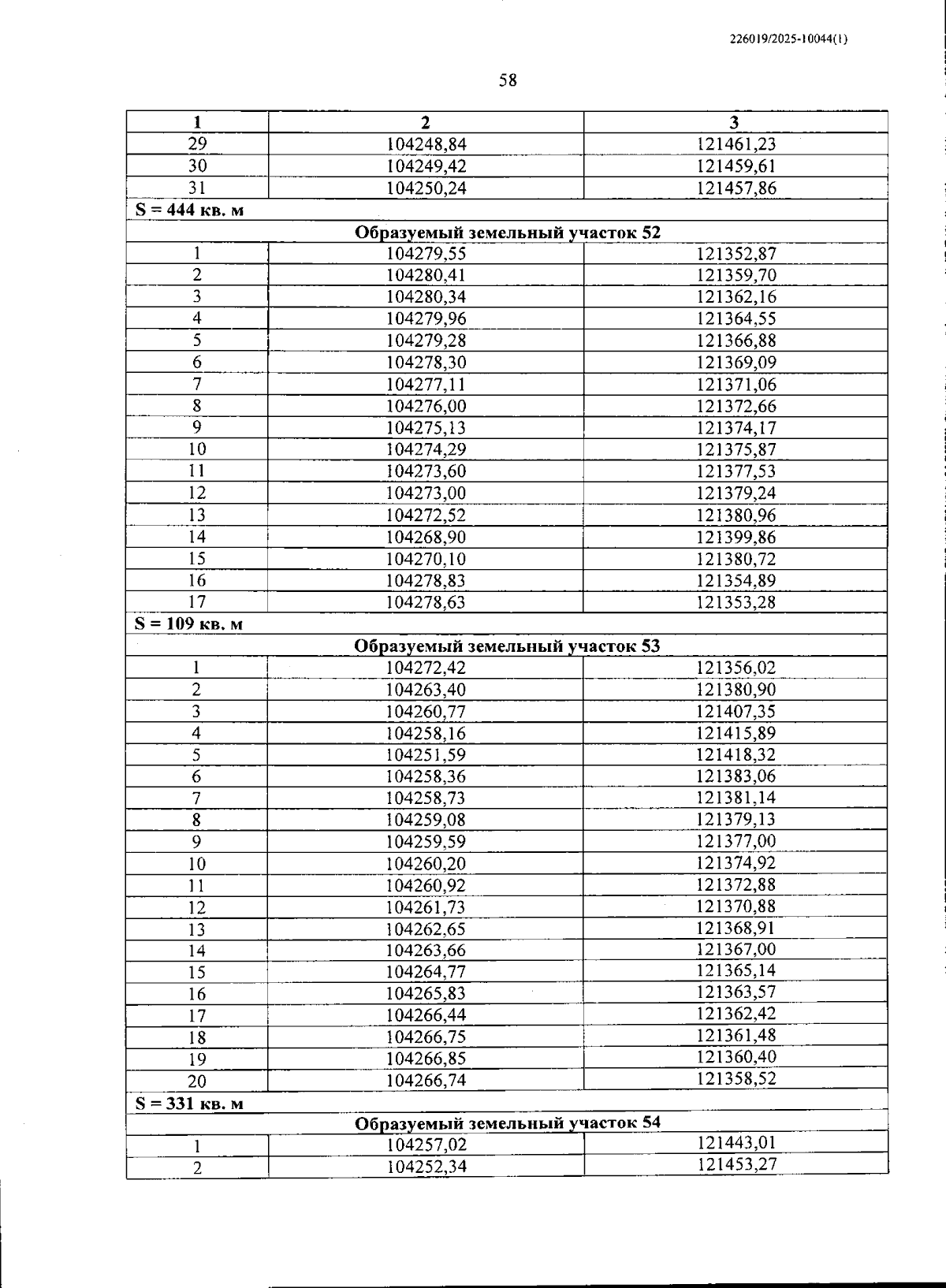
"Об утверждении проекта планировки с проектом межевания территории для размещения линейных объектов регионального значения "Пискаревский пр. от ул. Руставели до Муринской дор.", "Муринская дор. от Пискаревского пр. до ул. Корнея Чуковского", "пр. Маршака от Муринской дор. до дома № 28 по пр. Маршака"
Номер опубликования: 7800202509150002
Дата опубликования: 15.09.2025
Страница №108 из 165:
Увеличить