Официальное опубликование правовых актов
ОФИЦИАЛЬНОЕ ОПУБЛИКОВАНИЕ
Постановление Правительства Санкт-Петербурга от 19.09.2025 № 689
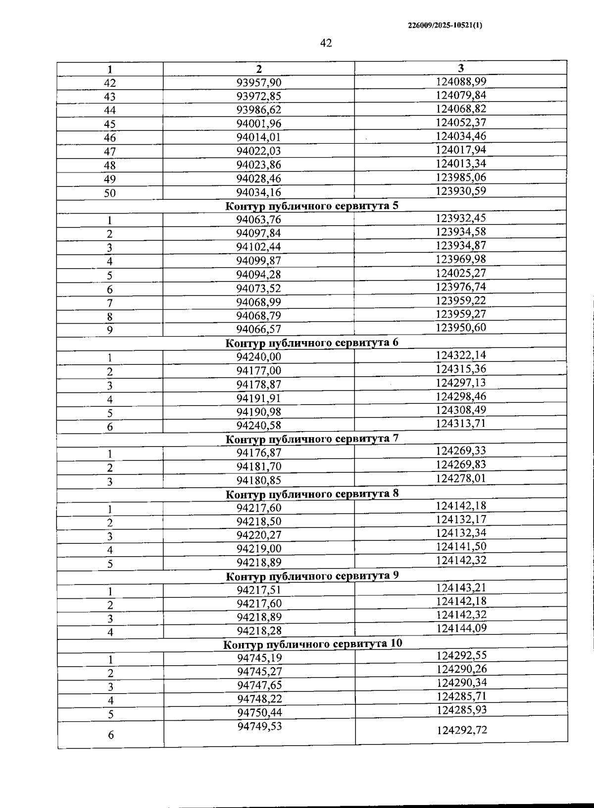
"Об утверждении проекта планировки с проектом межевания территории для размещения линейного объекта регионального значения "Транспортная развязка Широтной магистрали скоростного движения с ул. Коммуны на участке от ул. Кржижановского до Ленской ул. со строительством путепровода через железнодорожные пути"
Номер опубликования: 7800202509290002
Дата опубликования: 29.09.2025
Страница №61 из 66:
Увеличить