Официальное опубликование правовых актов
ОФИЦИАЛЬНОЕ ОПУБЛИКОВАНИЕ
Постановление Правительства Санкт-Петербурга от 19.09.2025 № 690
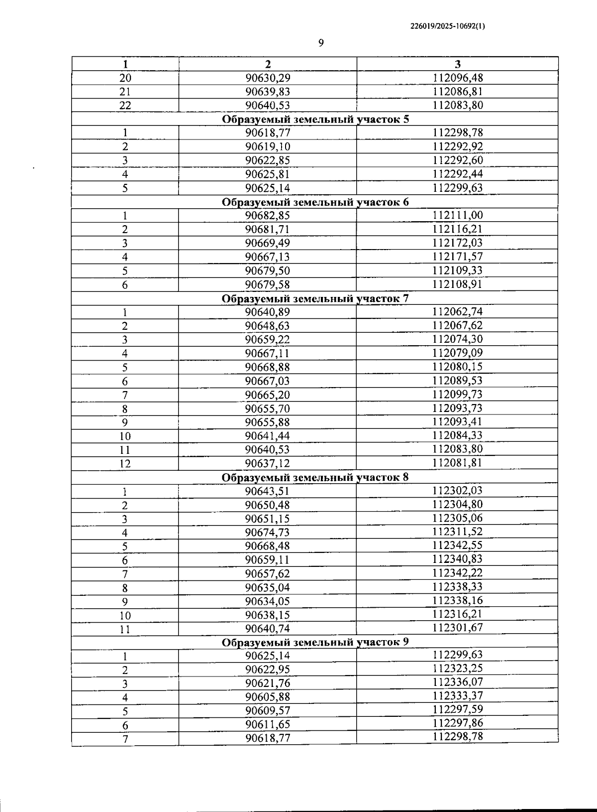
"Об утверждении проекта планировки с проектом межевания территории для размещения линейного объекта регионального значения "Киевская ул. от ул.Розенштейна и ул.Ивана Черных до ул.Шкапина и ул.Маршала Говорова"
Номер опубликования: 7800202509290005
Дата опубликования: 29.09.2025
Страница №19 из 21:
Увеличить