Официальное опубликование правовых актов
ОФИЦИАЛЬНОЕ ОПУБЛИКОВАНИЕ
Приказ Министерства культуры Республики Крым от 17.10.2025 № 645-ОКН
"Об утверждении границ зон охраны, режимов использования земель и требований к градостроительным регламентам в границах зон охраны объекта культурного наследия регионального значения "Свято-Троицкая церковь", 1868 год, расположенного по адресу: Республика Крым, г. Симферополь, ул. Одесская, 12/ул. Большевистская, 9, литеры "Г", "Г1", "Г2", "Г3"
(Зарегистрирован 22.10.2025 № 2852)
Номер опубликования: 9101202510230011
Дата опубликования: 23.10.2025
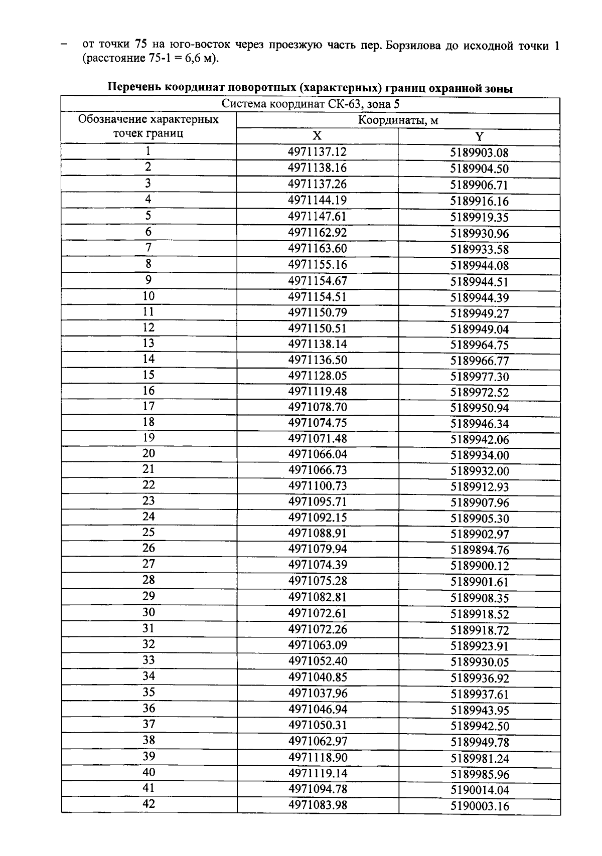
Страница №6 из 19:
Увеличить